Free Download yHomework – Math Solver Premium MOD Version Unlocked Ad-Free APK for Android Phones and Tablets. This app will help you easily solve equations and grasp complex math concepts. This app is one of the best maths-solving solution apps.
Overview of yHomework – Math Solver Premium APK for Android
This app is your math tutor right on your Android device. Whether you’re a student looking to ace your math homework or an adult facing real-life math challenges, this app is here to assist you. It simplifies complex equations, provides step-by-step solutions, and helps you better understand math concepts.
Features of the App
Equation Solver
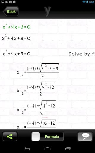
This app can solve various math equations, from simple algebra problems to complex calculus equations. Just input your equation and let the app do the rest.
Step-by-Step Solutions
The app doesn’t just provide answers; it also offers detailed step-by-step solutions. This feature helps you learn the process and build your problem-solving skills.
Graphing Calculator
This app includes a graphing calculator that allows you to visualize functions and equations, making it easier to grasp mathematical concepts.
Multiple Math Topics
The app covers a broad spectrum of math topics, including algebra, calculus, geometry, and more, catering to many users.
Offline Mode
You can use it without an internet connection, ensuring access to math solutions anytime, anywhere.
User-Friendly Interface
The app’s intuitive design makes navigating and utilizing its powerful features easy for users of all levels.
System Requirements
- Android 4.0 +
Conclusion
This app is a game-changer for anyone struggling with math problems. It’s like having a math tutor in your pocket, ready to assist you whenever needed. With its equation-solving capabilities, step-by-step solutions, and user-friendly interface, this app empowers users to conquer math challenges confidently.
FAQs
Q: Can this app solve complex calculus problems?
A: The app can handle various math problems, including complex calculus equations, providing step-by-step solutions.
Q: Is the graphing calculator feature easy to use?
A: The graphing calculator in this app is user-friendly and helps visualize mathematical functions and equations.
Q: Can I use this app offline?
A: The app offers an offline mode, ensuring you can access math solutions without an internet connection.
Q: Is it suitable for students of all levels?
A: The app caters to users of all levels, from students learning algebra to those tackling advanced calculus problems.
Q: How much storage space does it require on my Android device?
A: You’ll need adequate storage space for the app and its mathematical resources, so ensure you have sufficient space available.
Q: Does this app provide answers only, or does it also explain the solutions?
A: It goes beyond providing answers; it offers step-by-step solutions to help users understand the problem-solving process.






Comments
Leave a comment
Your email address will not be published. Required fields are marked *